IsothermalCompress
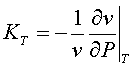
The IsothermalCompress function returns the isothermal compressibility of a fluid, which is defined by

For an ideal gas, the isothermal compressibility is inverse pressure.
The isothermal compressibility for some incompressible substances is provided as a function of temperature.
Examples:
$UnitSystem SI K kPa mass
T=870 [K]
P=35000 [kPa]
beta_T=isothermalcompress(Steam,T=T,P=P)
InverseP=1/P
{Solution:
InverseP=0.00002857 [1/kPa]
beta_T=0.00003466 [1/kPa]
}
$Load Incompressible
$UnitSystem SI kPa K
beta_T=isothermalcompress(CO2_solid,T=190 [K])
{Solution:
beta_T=2.100E-07 [1/kPa]
}
Thermophysical Property Functions