PROBABILITY
PROBABILITY(X1, X2, mu, sigma) returns the probability (as a fraction less than 1) that a value X will lie between X1 and X2 in a normal distribution having average mu and standard deviation sigma.
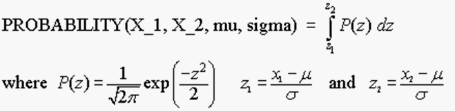
The PROBABILITY(X1, X2, mu, sigma) function is described mathematically as follows:

The normal distribution has the familiar bell-shape as shown in the figure below.

The PROBABILITY function returns the value of a specified area under this curve. For example,
sigma=0.1
P=probability(sigma, 2*sigma, 0, sigma)
will result in P=0.1359 which corresponds to the gray-shaded area on the right side of the Gaussian curve.